The MJA Lab
Research Group MJA
Publications Links Contact
ResearchGroupMJA
The MJA Lab
PublicationsLinksContact

News

Computational investigation of 1-hydridosilatranes now published
Computational investigation of 1-hydridosilatranes now published

We are over the activation energy excited for you to read about the mechanism of hydridosilatranes

Read More
Melissa D'AmaralOctober 24, 2021
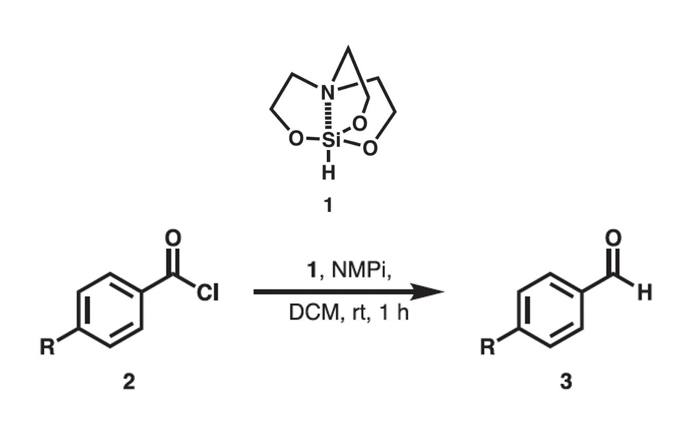
Fawwaz and David publish work on acid chloride reduction
Fawwaz and David publish work on acid chloride reduction

50% yield, 100% excitement

Read More
Melissa D'AmaralOctober 16, 2021
Review on porphyrin silanes now published
Review on porphyrin silanes now published

We are #TeamPorSils

Read More
Melissa D'AmaralSeptember 14, 2021
Fawwaz successfully defends his MSc
Fawwaz successfully defends his MSc

Congrats Fawwaz!!

Read More
Melissa D'AmaralAugust 20, 2021
Fawwaz publishes method to make 1-hydrosilatrane in Organic Syntheses
Fawwaz publishes method to make 1-hydrosilatrane in Organic Syntheses

Always wanted to learn to make 1-hydrosilatrane? Now you can!

Read More
Melissa D'AmaralAugust 17, 2021
Melissa wins Ryerson Graduate Scholarship
Melissa wins Ryerson Graduate Scholarship

Support from the home team.

Read More
marc adlerMay 5, 2021
Melissa featured as FOS highlights our Green Chemistry paper
Melissa featured as FOS highlights our Green Chemistry paper

I think I’ll let Melissa handle all of our interviews from now on.

Read More
marc adlerApril 30, 2021
Melissa and Nick publish amidation work in Green Chemistry
Melissa and Nick publish amidation work in Green Chemistry

Green chemistry…and yellow and blue and purple…what can I say, we like colour in our graphics.

Read More
marc adlerNovember 23, 2020
Zainab wins Mitacs Research Training Award
Zainab wins Mitacs Research Training Award

Mitacs trophy.

Read More
marc adlerAugust 21, 2020
Newer Older

The MJA Lab

innovation in synthetic methodology & bioactive molecules

TORONTO METROPOLITAN UNIVERSITY

TORONTO, ON, CANADA

Email us